时间:2021-01-22 14:19:11 作者:燕花 来源:系统之家 1. 扫描二维码随时看资讯 2. 请使用手机浏览器访问: http://m.xitongzhijia.mg188.cn/xtjc/20210122/201246.html 手机查看 评论 反馈
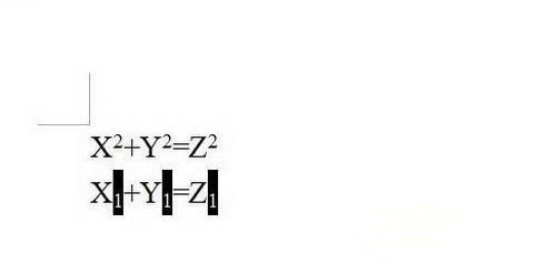
word是办公室人员经常会用到的软件,那在输入数学公式的时候,会经常需要用到上标和下标。那要怎么在word中输入上标和下标呢?这里就让小编来教教大家怎么在win7纯净版系统下在word中输入上标和下标吧。
第一种方法:使用快捷方式输入上标、下标
1、首先,选中想要设为上标的字符;

2、然后,在按Ctrl+Shift+加号即可将选中的字符设置为上标;

3、在选中想要设为下标的字符,最后再按Ctrl+加号即可将选中的字符设置为下标。

第二种方法:通过格式设置变为上标、下标
1、首先,选中需要设为上下标的字符,在点击格式,在点击字体;

2、然后,在弹出的界面中勾选上标或下标,最后再点击确定即可。

上述给大家介绍的便是win7纯净版系统下word输入上标和下标的全部内容,有需要的用户们可以按照上面的方法步骤来进行操作吧。
发表评论
共0条
评论就这些咯,让大家也知道你的独特见解
立即评论以上留言仅代表用户个人观点,不代表系统之家立场